linpk

R-CMD-check CRAN_Release_Badge CRAN_Download_Badge

An R package for generating concentration-time profiles from linear pharmacokinetic (PK) systems.

Installation

To install from CRAN:

install.packages("linpk")

To install the latest development version directly from GitHub:

require(devtools)
devtools::install_github("benjaminrich/linpk")

Basic Usage

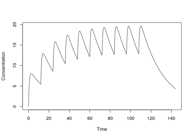
To simulate a PK profile from a one-compartment model with first-order absorption under repeated dosing:

t.obs <- seq(0, 6*24, 0.5)
y <- pkprofile(t.obs, cl=0.5, vc=11, ka=1.3, dose=list(amt=100, addl=9, ii=12))
plot(y)
PK profile from a one-compartment model with first-order absorption under repeated dosing

For a more detailed introduction to the package, see the vignette.

Shiny App

There is a companion shiny app that provides a demo of the package capabilities, and also generates code that can be placed in an R script. It can be accessed at https://benjaminrich.shinyapps.io/linpk-demo-app/ or run locally by pasting the following lines in an R console:

# Make sure the required packages are installed (if not, install them)
sapply(c("shiny", "shinyjs", "shinyAce", "dygraphs", "linpk"), requireNamespace)
linpk::linpkApp()

The app will open in a browser, and looks like this:

Screenshot of the shiny app