comorbidPGS

GitHub tag CRAN_Status_Badge

comorbidPGS is a tool for analysing an already computed Polygenic Score (PGS, also named PRS/GRS for binary outcomes) distribution to investigate shared genetic aetiology in multiple conditions.

comorbidPGS is under GPL-3 license, and is freely available for download.

Prerequisite

Installation

comorbidPGS is available on CRAN, you can download it using the following command:

install.packages("comorbidPGS")

If you prefer the latest stable development version, you can download it from GitHub with:

if (!require("devtools", quietly = TRUE)) install.packages("devtools")
devtools::install_github("VP-biostat/comorbidPGS")

Example

Building an Association Table of PGS

This is a basic example which shows you how to do basic association with the example dataset:

library(comorbidPGS)
#> 
#> Attaching package: 'comorbidPGS'
#> The following object is masked from 'package:graphics':
#> 
#>     assocplot

# use the demo dataset
dataset <- comorbidData
# NOTE: The dataset must have at least 3 different columns:
# - an ID column (the first one)
# - a PGS column (must be numeric, by default it is the column named "SCORESUM" or the second column if "SCORESUM" is not present)
# - a Phenotype column, can be factors, numbers or characters

# do an association of one PGS with one Phenotype
result_1 <- assoc(dataset, prs_col = "t2d_PGS", phenotype_col = "t2d")
PGS Phenotype Phenotype_type Statistical_method Covar N_cases N_controls N Effect SE lower_CI upper_CI P_value
t2d_PGS t2d Cases/Controls Binary logistic regression NA 730 9270 10000 1.688258 NA 1.561821 1.824931 0
# do multiple associations
assoc <- expand.grid(c("t2d_PGS", "ldl_PGS"), c("ethnicity","brc","t2d","log_ldl","sbp_cat"))
result_2 <- multiassoc(df = dataset, assoc_table = assoc, covar = c("age", "sex", "gen_array"))
#> Warning in phenotype_type(df = df, phenotype_col = phenotype_col): Phenotype
#> column log_ldl is continuous and not normal, please normalise prior association

#> Warning in phenotype_type(df = df, phenotype_col = phenotype_col): Phenotype
#> column log_ldl is continuous and not normal, please normalise prior association
PGS Phenotype Phenotype_type Statistical_method Covar N_cases N_controls N Effect SE lower_CI upper_CI P_value
2 t2d_PGS ethnicity 1 ~ 2 Categorical Multinomial logistic regression age+sex+gen_array 2142 6381 8523 0.9814174 NA 0.9345150 1.0306739 0.4528020
3 t2d_PGS ethnicity 1 ~ 3 Categorical Multinomial logistic regression age+sex+gen_array 1205 6381 7586 1.0178971 NA 0.9570931 1.0825640 0.5724292
4 t2d_PGS ethnicity 1 ~ 4 Categorical Multinomial logistic regression age+sex+gen_array 272 6381 6653 0.9434640 NA 0.8355980 1.0652542 0.3474694
21 ldl_PGS ethnicity 1 ~ 2 Categorical Multinomial logistic regression age+sex+gen_array 2142 6381 8523 0.9925623 NA 0.9451678 1.0423334 0.7648927
31 ldl_PGS ethnicity 1 ~ 3 Categorical Multinomial logistic regression age+sex+gen_array 1205 6381 7586 1.0083869 NA 0.9481215 1.0724830 0.7905175
41 ldl_PGS ethnicity 1 ~ 4 Categorical Multinomial logistic regression age+sex+gen_array 272 6381 6653 0.9760204 NA 0.8647226 1.1016433 0.6943783
1 t2d_PGS brc Cases/Controls Binary logistic regression age+sex+gen_array 402 5041 5443 1.0061678 NA 0.9087543 1.1140235 0.9057882
11 ldl_PGS brc Cases/Controls Binary logistic regression age+sex+gen_array 402 5041 5443 1.1037106 NA 0.9956370 1.2235153 0.0605407
12 t2d_PGS t2d Cases/Controls Binary logistic regression age+sex+gen_array 730 9270 10000 1.7359738 NA 1.6029867 1.8799938 0.0000000
13 ldl_PGS t2d Cases/Controls Binary logistic regression age+sex+gen_array 730 9270 10000 0.9823272 NA 0.9102411 1.0601223 0.6465580
14 t2d_PGS log_ldl Continuous Linear regression age+sex+gen_array NA NA 10000 0.0059961 0.0022747 0.0015378 0.0104544 0.0084010
15 ldl_PGS log_ldl Continuous Linear regression age+sex+gen_array NA NA 10000 0.0828545 0.0021183 0.0787027 0.0870064 0.0000000
16 t2d_PGS sbp_cat Ordered Categorical Ordinal logistic regression age+sex+gen_array NA NA 10000 1.0628744 NA 1.0236044 1.1036509 0.0015002
17 ldl_PGS sbp_cat Ordered Categorical Ordinal logistic regression age+sex+gen_array NA NA 10000 1.0078855 NA 0.9707330 1.0464598 0.6818849

Extension of association analysis: one-sample MR using the Wald Ratio and 2SLS methods

# MR using Wald ratio method
mr1 <- mr_ratio(df = dataset, prs_col = "ldl_PGS", exposure_col = "log_ldl", outcome_col = "sbp") 
#> Warning in phenotype_type(df = df, phenotype_col = exposure_col): Phenotype
#> column log_ldl is continuous and not normal, please normalise prior association
#> Warning in phenotype_type(df = df, phenotype_col = outcome_col): Phenotype
#> column sbp is continuous and not normal, please normalise prior association
PGS Exposure Outcome Method N_cases N_controls N MR_estimate SE F_stat
ldl_PGS ldl_PGS log_ldl sbp Ratio NA NA 10000 0.0321099 2.387691 1449.37
# MR using 2-stage least square method (2SLS)
mr2 <- mr_2sls(df = dataset, prs_col = "ldl_PGS", exposure_col = "log_ldl", outcome_col = "sbp") 
#> Warning in phenotype_type(df = df, phenotype_col = exposure_col): Phenotype
#> column log_ldl is continuous and not normal, please normalise prior association
#> Warning in phenotype_type(df = df, phenotype_col = outcome_col): Phenotype
#> column sbp is continuous and not normal, please normalise prior association
PGS Exposure Outcome Method N_cases N_controls N MR_estimate SE F_stat
value ldl_PGS log_ldl sbp 2SLS NA NA 10000 0.0321099 2.387532 1449.37

Examples of data visualisation using comorbidPGS

densityplot(dataset, prs_col = "ldl_PGS", phenotype_col = "sbp_cat")

# show multiple associations in a plot
assoplot <- assocplot(score_table = result_2)
assoplot$continuous_phenotype

assoplot$discrete_phenotype

NOTE: The score_table should have the assoc() output format

centileplot(dataset, prs_col = "brc_PGS", phenotype_col = "brc")
#> Warning in centileplot(dataset, prs_col = "brc_PGS", phenotype_col = "brc"):
#> The dataset has less than 10,000 individuals, centiles plot may not look good!
#> Use the argument decile = TRUE to adapt to small datasets

As those graphical functions use ggplot2, you can fully customize your plot:

library(ggplot2)
centileplot(dataset, prs_col = "t2d_PGS", phenotype_col = "t2d") + 
  scale_color_gradient(low = "green", high = "red")

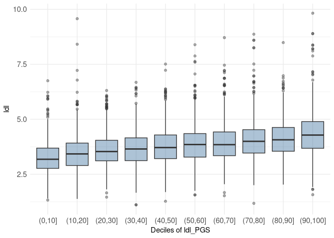
decileboxplot(dataset, prs_col = "ldl_PGS", phenotype_col = "ldl")

Citation

To cite comorbidPGS in publications, please use:

Pascat V, Zudina L, Ulrich A, Maina JG, Kaakinen M, Pupko I, Bonnefond A, Demirkan A, Balkhiyarova Z, Froguel P, Prokopenko I (2024). “comorbidPGS: an R package assessing shared predisposition between Phenotypes using Polygenic Scores.” Human Heredity. doi: 10.1159/000539325.